Skip to content Skip to sidebar Skip to footer

Letter To Conduct Research : Letter To School Principal For Permission To Conduct Research In School

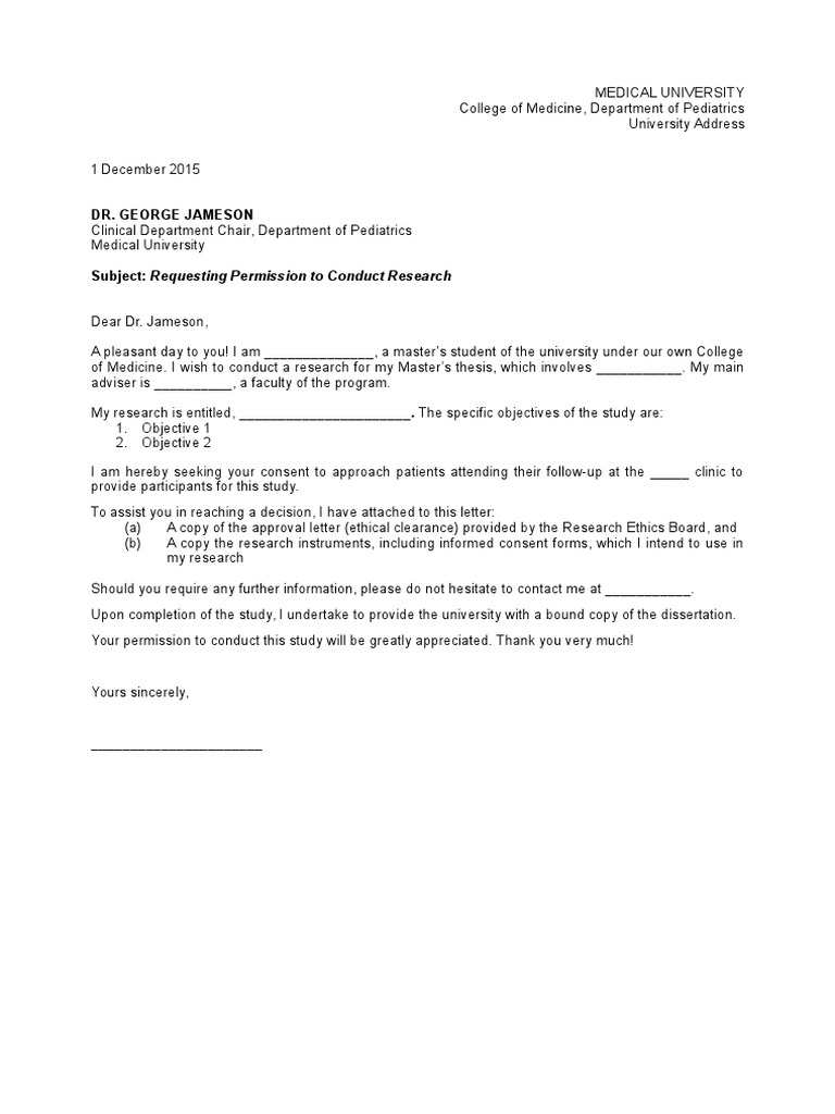
Letter To Conduct Research : Letter To School Principal For Permission To Conduct Research In School. I am senior accounting student at south country university. This letter acknowledges that i have received and reviewed a request by researcher's name to conduct a research project entitled study title at site name and i approve of this research to be conducted at our facility. Please cite the above reference number in your response, once you have met the condilions of approval you will be. Content created by office for human research protections ohrp content last reviewed on february 16 2016. We are the financial management students of notre dame of dadiangas university who are enrolled in business management research (bmr).

Writing a letter of permission to conduct research in any organization basically comes in two ways. Please cite the above reference number in your response, once you have met the condilions of approval you will be. Use this form to obtain permission from schools at which your research is conducted.> august 27, 2014. Sample letter of consent (place on department or faculty letterhead) (insert date) dear (insert potential research participant's name): The task is ordinarily very involving indeed.

2
2 from
Response to the above conditions should be in the form of a covering letter with any additional information attached. For students who need a template for their request letter to conduct research Sample approval letter to conduct research. Prior to a project being started, a letter of authorization to conduct research will likely be required. In particular, we are interested in how psychosis may have mystical and/or spiritual aspects to it, and how Writing a letter of permission to conduct research in any organization basically comes in two ways the researcher personally addressing the organization under study for the organization. We are the financial management students of notre dame of dadiangas university who are enrolled in business management research (bmr). The purpose of this letter is to inform you that i give <name of principal investigator>

Writing a letter of permission to conduct research in any organization basically comes in two ways the researcher personally addressing the organization under study for the organization.

A permission request letter for data collection for research is one where someone, such as a college student, is requesting data to complete research work. Letter to the respondents dear respondents: Prior to a project being started, a letter of authorization to conduct research will likely be required. For students who need a template for their request letter to conduct research Permission letter to conduct research. Use this form to obtain permission from schools at which your research is conducted.> august 27, 2014. Sample permission letter for research. 2.research application is completed and declaration signed letters of support and research instruments are attached (e.g. Writing a letter of permission to conduct research in any organization basically comes in two ways the researcher personally addressing the organization under study for the organization. A copy the research instruments which i intend using in my researchshould you require any further information, please do not hesitate to contact me or my supervisor. Template and example for informed consent when human subjects are anonymous. For instance, if someone is attending university and looking to collect research data, they'd address the letter to the registrar, requesting to have access to the data. This cover letter is aimed at a recruited that can put into contact with various employers in your f.

Our contact details are as follows: ***sample ihs service unit letter of support*** december 15, 2001 jane doe, md state university po box 12 anycity, northwest state, 99999 dear dr. Letter to conduct research : For students who need a template for their request letter to conduct research Sample approval letter to conduct research.

Letter Of Conducting Research Docx Behavior Modification Learning
Letter Of Conducting Research Docx Behavior Modification Learning from imgv2-1-f.scribdassets.com
Guide for completing application to conduct research has been read and understood by the researchers. Our contact details are as follows: If the research involves students, a copy of the parent notification/consent form (or letter) must be submitted with the rrf. Conducting research has never been a meant feat. In the regard, we are asking for your precious time, and effort to answer. To whom it may concern: At all times you are responsible for the ethical conduct of your research in accordance with the guidelines. This cover letter is aimed at a recruited that can put into contact with various employers in your f.

For students who need a template for their request letter to conduct research

Access letter requesting permission to conduct research. For students who need a template for their request letter to conduct research He/she is conducting a research entitled the relationship between perceived stress and coping strategies among parents of autistic children a letter from university principal to the company manager requesting to allow the granting of information required on research work of student's project. Email and telephone number)upon completion of the study, i. Sample approval letter to conduct research. This letter acknowledges that i have received and reviewed a request by researcher's name to conduct a research project entitled study title at site name and i approve of this research to be conducted at our facility. We are the financial management students of notre dame of dadiangas university who are enrolled in business management research (bmr). Municipality, academic degree, computer science pages: Guide for completing application to conduct research has been read and understood by the researchers. In the regard, we are asking for your precious time, and effort to answer. Letter of authorization to conduct research creating a letter of authorization to conduct research it is not uncommon for students and researchers to require use of, or access to, a facility in order to complete the research project. The individual conducting the research is responsible for generating the parent notification/consent form. This cover letter is aimed at a recruited that can put into contact with various employers in your f.

Letter of authorization to conduct research creating a letter of authorization to conduct research it is not uncommon for students and researchers to require use of, or access to, a facility in order to complete the research project. I am senior accounting student at south country university. Writing a letter of permission to conduct research in any organization basically comes in two ways the researcher personally addressing the organization under study for the organization. Please cite the above reference number in your response, once you have met the condilions of approval you will be. At all times you are responsible for the ethical conduct of your research in accordance with the guidelines.

Doc Access Letter Requesting Permission To Conduct Research Satheesh Boobalan Academia Edu
Doc Access Letter Requesting Permission To Conduct Research Satheesh Boobalan Academia Edu from 0.academia-photos.com
Below is an example of a personal letter to an organization for permission to conduct a research in an organization. Letter of authorization to conduct research creating a letter of authorization to conduct research it is not uncommon for students and researchers to require use of, or access to, a facility in order to complete the research project. Response to the above conditions should be in the form of a covering letter with any additional information attached. I am senior accounting student at south country university. For instance, if someone is attending university and looking to collect research data, they'd address the letter to the registrar, requesting to have access to the data. Research application is completed and declaration signed letters of support and research instruments are attached (e.g. Guide for completing application to conduct research has been read and understood by the researchers. The purpose of this letter is to inform you that i give <name of principal investigator>

You are being invited to participate in a research study on people's experience on psychosis.

The individual conducting the research is responsible for generating the parent notification/consent form. Institutional review board sample form: ***sample ihs service unit letter of support*** december 15, 2001 jane doe, md state university po box 12 anycity, northwest state, 99999 dear dr. It requires too much attention, input, and resources from the various parties involved. Content created by office for human research protections ohrp content last reviewed on february 16 2016. Sample permission letter for research. Permission letter to conduct research. Template and example for informed consent when human subjects are anonymous. Letter of authorization to conduct research creating a letter of authorization to conduct research it is not uncommon for students and researchers to require use of, or access to, a facility in order to complete the research project. Research application is completed and declaration signed letters of support and research instruments are attached (e.g. Guide for completing application to conduct research has been read and understood by the researchers. A copy the research instruments which i intend using in my researchshould you require any further information, please do not hesitate to contact me or my supervisor. In partial fulfillment of my final thesis, i am currently undertaking a research on the role of.

Post a Comment for "Letter To Conduct Research : Letter To School Principal For Permission To Conduct Research In School"